
Best Practices in Data Visualization
University of Houston
2023-05-24
But not all graphics are created equal

Excellence in statistical graphics consist of complex ideas communicated with clarity, precision, and efficiency (Tufte 2015, pg 14)




The representation of numbers, as physically measured on the surface of the graphic itself, should be directly proportional to the numerical quantities (pg.56)
Different people see the same areas differently and perceptions change with experience and context
Tables sometimes outperform graphics in clarity, but only for small data sets of 20 numbers or less

\[ \frac{27.5-18.0}{18.0} \times 100=53\% \]
\[ \frac{5.3-0.6}{0.6} \times 100=783\% \]
Clear, detailed, and thorough labeling should be used to defeat distortion and ambiguity
Write out explanations of the data and label important events
Includes labeling the coordinate system and providing an informative title
A large share of ink on a graphic should present data-information
Data ink is the non-erasable core of a graphic arranged in response to variation in the numbers represented
Every bit of ink on a graphic requires a reason - and that reason is to present new information

What elements of this chart are not data-ink?
The grid lines!
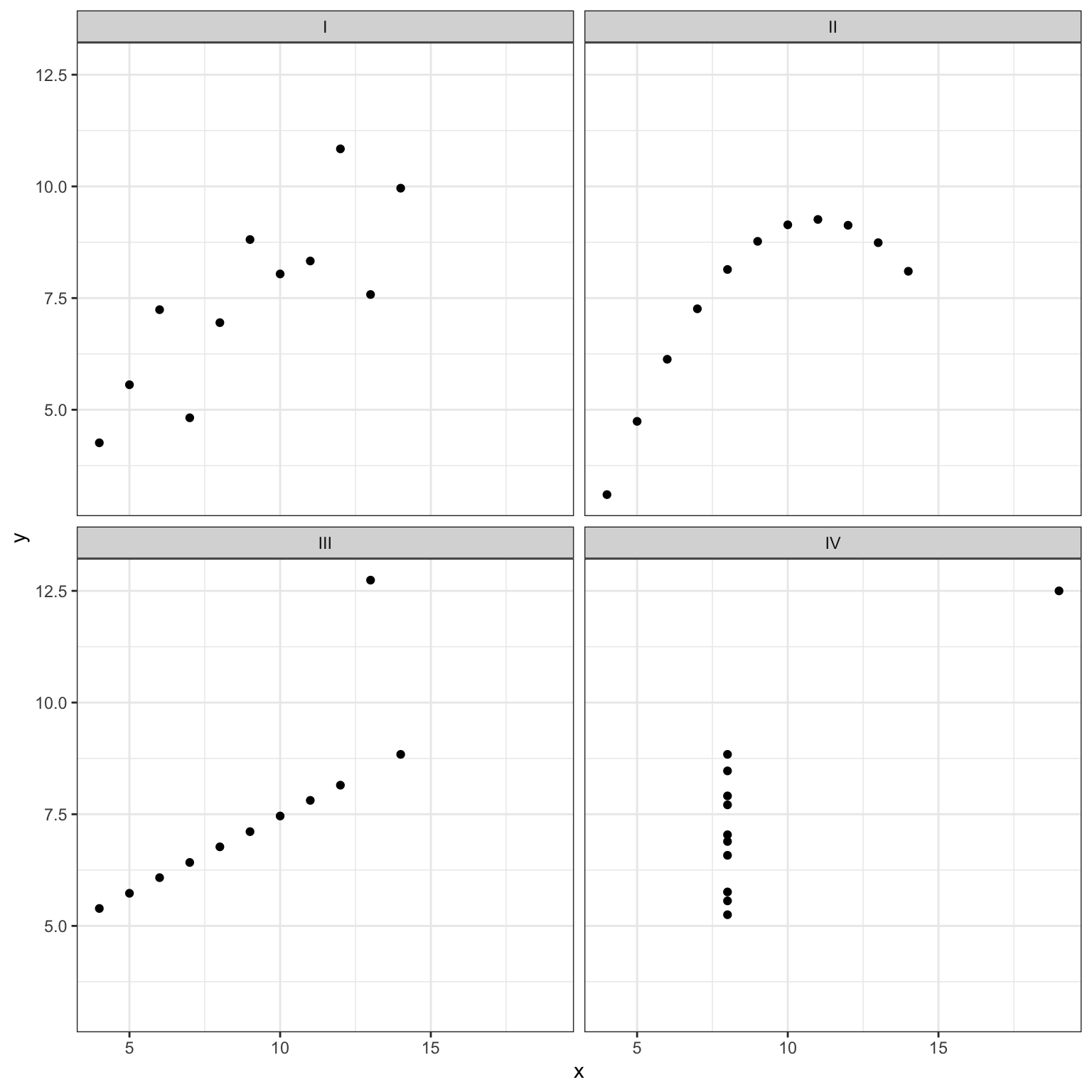
What is the pattern here?


All data visualizations use color, depending on how you define black and white
Three ways to use colors
Qualitative colors show category
Sequential colors show order, rank, or numeric values
Diverging colors show values that move around a zero mark

Move color mapping to bar height

Move color mapping to bar height and position
Data analysts should think intentionally about how we can learn from and speak to audiences that reflect the diversity of the people and communities we focus
Systemic discrimination is and can be generated by how we use and misuse data
If I were one of the data points on this visualization, would I feel offended? - Kim Bui

Put people first: data shown reflect the lives and experiences of real people
Use personal connections to help readers and users better connect with the material: pair charts with personal stories
Create a platform for engagement: interactive graphics allow users to find themselves in the data
Consider how framing an issue can create a biased emotional response
If the underlying data is biased, graphics can amplify bias and the harm that bias generates
Remember the Principles of Graphical Excellence: clarity, precision, and efficiency
Avoid data distortion through Graphical Integrity
Maximize data-ink ratio
Have a clear purpose for your graphics: what do you want to communicate?
Do no harm: be aware how your data graphics perpetuate bias or systemic discrimination
Free downloadable font for low-vision readers by the Braille Institute used throughout this presentation.
Jorge Martinez
University of Houston
Director of Research and Reporting
Enrollment Services

Best Practices in Data Visualization